Identifier et restaurer les poches de diffusion de la biodiversité au sein de la trame turquoise : exemple d’un projet sur le bassin versant de la Bienne (Jura)
La trame turquoise, zone d’interaction écologique entre milieux aquatiques et terrestres, abrite des poches de biodiversité essentielles à la résilience des écosystèmes. Comment identifier ces zones stratégiques et les intégrer dans les plans d’action des gestionnaires pour en maximiser l’impact écologique ? C’est la question au cœur d’un projet pilote mené sur le bassin versant de la Bienne (Jura) qui vise à identifier et restaurer ces habitats pour renforcer leur rôle de diffusion de la biodiversité. Une approche innovante, à l’interface science-gestion, pour une conservation durable à l’échelle du territoire.
Introduction
Développée à la fin des années 2000, la trame verte et bleue (TVB) est un réseau formé de continuités écologiques terrestres et aquatiques qui a été inscrit dans les codes de l’urbanisme et de l’environnement. La TVB est déclinée dans de nombreux documents réglementaires et documents d’objectifs que doivent prendre en compte les gestionnaires des milieux aquatiques (SRCE, SCoT, PLU
Le bassin versant de la Bienne (730 km²), présente un réseau hydrographique de 422 km dont 65 km pour le cours principal et 357 km pour les affluents. Pour plusieurs raisons, ce territoire présente à la fois un fort potentiel de résilience, c’est-à-dire une capacité naturelle à résister, s’adapter et se rétablir après une perturbation et un potentiel de restauration de la biodiversité par des actions humaines destinées à lever ou réduire certaines perturbations.
D’une part, à l’échelle du bassin versant l’emprise anthropique reste encore limitée avec 79 % de la surface du bassin occupée par les forêts et les milieux semi-naturels, 18 % par les terres agricoles et 3 % par les zones urbanisées. Le réseau hydrographique contient une importante diversité de milieux et d’habitats aquatiques ainsi que des secteurs encore préservés représentant de forts enjeux de conservation de la biodiversité. Les ZNIEFFs
D’autre part les causes de dégradations essentiellement concentrées sur le cours principal et l’amont de certains affluents sont connues et en partie circonscrites. Il s’agit de pressions diverses en lien avec l’essor des activités industrielles et agricoles : utilisation de la force hydraulique qui a engendré d’importantes modifications morphologiques (création de barrages, endiguement des berges et artificialisation des abords), pollutions d’origine industrielle (métaux et résidus divers) et agricole (élevage, production laitière et fromagère), altération de la qualité physico-chimique de l’eau liée au développement démographique. Au cours de ces vingt dernières années, les acteurs du bassin ont entrepris de nombreux efforts de restauration de la qualité des eaux et des habitats. Ainsi, le dernier diagnostic du SDAGE
Enfin, les caractéristiques géochimiques et hydrologiques des cours d’eau jurassiens en font des milieux très biogènes qui présentent des dynamiques de restauration rapides.
Face à ces constats, les acteurs du bassin versant, sous l’égide du Parc naturel du Haut-Jura (PNRHJ), ont décidé, de mener un travail scientifique ayant les objectifs suivants :
- identifier les poches de biodiversité ayant un potentiel de diffusion au sein de la trame turquoise restreinte ici à une zone tampon intégrant la TVB de part et d’autre du cours d’eau ;
- élaborer un programme contenant à la fois des mesures de conservation de la biodiversité aquatique pour essayer de maintenir son potentiel de résilience et des actions de restauration du milieux destinées à favoriser le rôle de diffusion des poches de biodiversité existantes.
Ce projet a été retenu dans le cadre de l’appel à projet 2020 « Eau et Biodiversité » de l’Agence de l’eau Rhône Méditerranée & Corse.
Une démarche de biologie de la conservation en cinq étapes
La démarche méthodologique mise en place intégrant in fine un processus de prise de décision s’est inspirée du principe de « science-based management » (Sutherland et al., 2004) et des méthodes de « conservation planning » qui préconisent les efforts de conservation à l’échelle locale pour lever les principales pressions qui impactent les populations ou les espèces (Butchart et al., 2012 ; Mucova et al., 2018).
La démarche globale comporte cinq étapes de travail (figure 1) :
- 1. Sélection, à partir des données d’inventaire existantes, des avis d’experts naturalistes locaux et des trames écologiques cartographiées (SRCE) de 35 tronçons de rivières présentant les plus forts enjeux écologiques sur lesquels des données biologiques seront ensuite récoltées ;
- 2. Collecte, sur les tronçons sélectionnés, de données qualitatives et quantitatives représentant la diversité de trois compartiments biologiques (poissons, invertébrés aquatiques et avifaune). Plus, sur l’ensemble du linéaire de la Bienne, une caractérisation du fonctionnement hydro-morphologique de la rivière et une cartographie de la répartition des habitats thermiques pour les espèces piscicoles thermo-sensibles ;
- 3. Analyses spatiales intégrant les données d’inventaire existantes, les données biologiques et thermiques collectées, les zones d’intérêts écologiques réglementaires (ZNIEFF, Natura 2000, réservoirs biologiques, trames vertes et bleues) et les autres données disponibles (habitat, connectivité, qualité, pressions existantes) ;
- 4. Hiérarchisation du potentiel de diffusion de la biodiversité entre les tronçons étudiés permettant de localiser les zones sources qui jouent un rôle essentiel dans la capacité de résilience de la biodiversité à l’échelle du bassin ;
- 5. Enfin, l’étape terminale du planning de conservation qui consiste à établir un programme d’actions à mettre en œuvre sur les différentes zones identifiées.
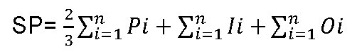
SP : score de priorité où n représente le nombre d’indicateurs utilisés dans le calcul ; P : la valeur de l’indicateur poissons i ; I : la valeur de l’indicateur invertébrés i ; et O : la valeur de l’indicateur oiseaux i.
Figure 1. Représentation schématique de la démarche méthodologique en cinq étapes, appliquée pour localiser les poches majeures de diffusion de la biodiversité et définir un planning de conservation.
Une approche qualitative et quantitative multi-spécifique
Généralités et étape 1
Un des objectifs était de localiser, à l’échelle de l’ensemble du réseau hydrographique, les poches de biodiversité présentant un fort potentiel de diffusion, correspondant à des tronçons de rivière abritant à la fois une forte richesse biologique et des niveaux élevés d’abondance de cette richesse.
Un premier travail d’analyses spatiales couplant les données d’inventaire existantes et celles relatives aux trames vertes et bleues et aux réservoirs biologiques a permis d’identifier 35 tronçons de rivière considérés comme des zones de biodiversité importante au sein de la trame turquoise, 16 tronçons sur la Bienne et 19 sur les affluents.
Ensuite, sur chaque tronçon, des indicateurs de richesse spécifique et d’abondance ont été calculées à partir de données collectées au cours de l’année 2022 sur des espèces ou taxons cibles représentatifs de trois compartiments biologiques : poissons, invertébrés aquatiques et avifaune. Les méthodes mises en œuvre sont détaillées dans les rapports du projet dédiés à chaque compartiment (Bourgoin, 2024 ; Caudron et Dumoutier, 2024 ; Dumoutier, 2024) et les indicateurs sont décrits brièvement dans les paragraphes suivants.
Compartiment poissons
Pour le volet ichtyologique, la truite commune (Salmo trutta) a été choisie comme espèce patrimoniale cible car elle présente des enjeux écologiques et sociétaux importants, son écologie et ses exigences en termes de libre circulation, habitats physiques et thermiques sont bien connues, et elle est naturellement présente sur l’ensemble du bassin.
Deux indicateurs principaux ont été retenus : l’abondance du stade juvénile de l’année (0+) et le nombre de reproducteurs efficaces (adultes géniteurs). Les juvéniles et les reproducteurs représentent les stades les plus mobiles et les plus importants en termes de dynamique de population, ils ont donc une importance cruciale pour la diffusion des populations et la colonisation de nouveaux milieux.
Des pêches électriques réalisées du 6 au 21 juillet 2022 ont permis de collecter les données d’abondance de juvéniles 0+ selon une méthode dérivée des indices d’abondance truite (Servanty et al., 2016) et d’échantillonner des morceaux de nageoire pour analyses génétiques. Au total, 1 630 individus ont été échantillonnés sur les 35 tronçons puis analysés au niveau de 192 marqueurs génétiques SNPs (Saint-Pé et al., 2019) pour calculer le nombre de géniteurs efficaces (Nb) en appliquant la méthode des fratries (Wang, 2009) validée sur les salmonidés (Ackerman et al., 2017 ; Bacles et al., 2018).
En outre, un travail de génétique des populations a permis d’obtenir des informations supplémentaires sur la naturalité des individus de truite (souche native méditerranéenne versus souche introduite d’origine atlantique) et la structuration génétique et les flux de gènes en lien avec la présence des ouvrages.
Compartiments invertébrés
Les invertébrés représentent une part importante de la biodiversité aquatique et jouent un rôle essentiel dans le fonctionnement de l’écosystème aquatique. Ils interviennent dans la décomposition de la matière organique, la filtration de l’eau et sont à la base de la chaîne alimentaire de nombreuses espèces. Ils participent naturellement à la conservation et à la restauration de la qualité des milieux inféodés à la trame turquoise autour des cours d’eau. Leur répartition généralisée sur les milieux aquatiques en fait des indicateurs pertinents pour identifier les poches de biodiversité à l’échelle du bassin versant.
Différents indicateurs, quantitatifs et patrimoniaux, ont été renseignés sur chaque tronçon :
- la valeur quantitative correspondant à la densité totale d’invertébrés aquatiques ;
- la richesse trophique représentant la densité de taxons et de stades rentrant dans l’alimentation des poissons ;
- le nombre d’espèces des éphémères, plécoptères, trichoptères (EPT) renseignant sur la diversité spécifique ;
- le statut de protection des espèces identifiées qui informe sur la valeur patrimoniale des invertébrés.
Trois campagnes complémentaires d’échantillonnage ont été réalisées au printemps (25/04 au 05/05), en été (20/06 au 07/07) et en automne (17/10 au 20/10) 2022 en combinant trois méthodes permettant de capturer les stades larvaires et adultes : fauchage aérien d’adulte au filet, prélèvements aquatiques au filet Surber, et piégeage lumineux nocturne. Au total, 66 000 larves ont été prélevées et déterminées à la famille et 6 000 individus appartenant aux EPT ont été déterminés à l’espèce.
Compartiment avifaune
Deux espèces cibles ont été retenues pour le compartiment avifaune, à savoir le cincle plongeur (Cinclus cinclus) et le martin pêcheur (Alcedo atthis). Elles apportent des éléments complémentaires aux données sur les poissons et les invertébrés en rapport avec la trame turquoise. Ces espèces sont très dépendantes des milieux aquatiques pour leurs habitats, leur alimentation et leur déplacement, créant des liens écologiques directs entre trame bleue et trame verte par l’intermédiaire de la ripisylve. La présence et l’abondance du cincle plongeur est un bon indicateur de l’état de fonctionnalité des rivières et de l’écosystème riparien (Cesarini et al., 2024).
Pour ces deux espèces, l’indicateur retenu était l’indice kilométrique d’abondance qui aggrège les données de présence/absence des espèces et leur abondance (IKA, Ferry et Frochot, 1958). Deux campagnes de comptage de dix jours chacune à deux opérateurs ont été réalisées durant la saison de reproduction des oiseaux début avril et début juin 2022.
Principaux résultats de l’ensemble des compartiments
Les résultats détaillés sont consultables dans les rapports du projet dédiés à chaque compartiment (Bourgoin, 2024 ; Caudron et Dumoutier, 2024 ; Dumoutier, 2024), ci-dessous les résultats essentiels à retenir :
- sur le plan piscicole, la découverte sur 19 tronçons d’une population majeure de truites de la lignée native méditerranéenne colonisant trois quarts du cours principal et l’aval des affluents. Les abondances relatives en juvéniles varient d’un facteur 1 à 47 et le nombre de géniteurs efficaces de 6 à 41. Les effectifs élevés de juvéniles et de taille efficace sont localisés sur les tronçons abritant la population native. La structuration génétique en 17 clusters indique que les flux de gènes au sein de cette population sont fortement limités par la présence des obstacles anthropiques ;
- pour les invertébrés aquatiques, les densités totales s’échelonnent de 2 160 à 17 537 individus/m² avec une médiane à 5 200 individus/m². La diversité spécifique des EPT varie de 16 à 40 espèces par tronçons pour un total de 124 espèces différentes dont 33 présentent un statut de protection sur les listes rouges française et suisse ;
- concernant l’avifaune, le cincle plongeur a été contacté sur 31 tronçons dont 18 sont des nouvelles observations avec des indices compris entre 0,5 et 1,5 couples/km. Le martin pêcheur n’est présent que sur 6 tronçons localisés sur la Bienne et son principal affluent le Tacon avec des indices compris entre 0,1 et 0,7 couple/km.
Intégration des anomalies thermiques et des refuges thermiques
Un quatrième volet a consisté à réaliser une cartographie thermique de la Bienne en utilisant la technologie de l’infra-rouge thermique aéroporté (IRT-a). Cette technologie récente permet, d’une part, de caractériser le fonctionnement hydro-morphologique d’une rivière en identifiant les échanges nappe/rivière, et d’autre part de décrire les habitats thermiques favorables pour les salmonidés et d’inventorier les refuges thermiques (Dugdale, 2016 ; Marteau et al., 2022).
La campagne d’acquisition a eu lieu le 21 juillet 2022 sur la totalité des 63 km du cours principal de la Bienne. Une cartographie thermique d’une résolution au sol de 40 cm·pix-1 a été produite à partir de 2 265 images collectées. En complément de cette analyse spatiale, une analyse temporelle des caractéristiques thermiques estivales a été réalisée à partir de 14 enregistreurs disposés sur la Bienne et 13 sur les affluents. Ces données ont permis d’établir le profil longitudinal de température de la rivière présentant des valeurs comprises entre 12 °C et 28 °C, de localiser dix anomalies thermiques chaudes d’origine anthropique principalement causées par les retenues des barrages, de caractériser les échanges nappe/rivière en identifiant 715 poches froides, d’identifier 9 apports majeurs d’eau froide (figure 2), de détailler précisément les mosaïques thermiques (voir document complémentaire, page 10), de décrire la répartition spatio-temporelle des habitats thermiques pour les salmonidés et d’identifier les refuges thermiques et climatiques potentiels.
Les méthodes et les résultats de ce volet sont disponibles dans le rapport dédié (Caudron et al., 2024).

Figure 2. Cartographie du profil thermique de la Bienne (a) et profil longitudinal de température (b) présentant la distribution des 715 poches froides recensées (la taille des cercles reflète la superficie et leur positionnement sur l’axe-y représente leur température minimale) et l’identification des 10 anomalies thermiques chaudes d’origine anthropique (zones orange) et des 9 refroidissements majeurs (zones bleues).
Identification et hiérarchisation des poches de diffusion
Une analyse dite de « scoring and ranking » a été réalisée pour hiérarchiser les 35 tronçons étudiés en fonction de leur capacité de diffusion de la biodiversité (tableau 1). Ces approches de priorisation sont courantes dans les plannings de conservation comme aide à la décision pour allouer les moyens disponibles sur les secteurs à fort enjeux (Margules et Pressey, 2000 ; Le Berre et al., 2019).
Pour chacun des trois compartiments biologiques, des critères de notation ont été définis à partir des indicateurs d’abondance, de diversité biologique et du statut patrimonial des espèces contactées. Le processus de notation s’est attaché à ne favoriser aucun critère ou compartiment biologique en particulier. Ainsi, les données quantitatives et qualitatives utilisées pour la notation ont été transformées en indice de 0 à 1 pour leur attribuer le même poids. Seule la variation du critère « nombre d’espèces d’oiseaux » a été conservée entre 0 et 2 (i.e., cincle plongeur et martin pêcheur) pour mieux retranscrire le niveau de diversité spécifique au sein de ce compartiment.
Ainsi pour chacun des 35 tronçons, un sous-score de priorité pour chaque compartiment biologique a été obtenu puis un score de priorité total (SP) a été calculé par la formule suivante :
où n représente le nombre d’indicateurs utilisés dans le calcul, P : la valeur de l’indicateur poissons i ; I : la valeur de l’indicateur invertébrés i ; et O : la valeur de l’indicateur oiseaux i. Dans cette formule de notation finale, pour donner un poids équivalent à chacun des 3 compartiments, une pondération de 2/3 a été affectée au sous-score poisson qui est noté sur 6 alors que les sous-scores invertébrés et avifaune sont notés sur 4.
Équation 1
Ainsi, plus le score est élevé, plus le tronçon présente un enjeu important en termes de capacité de diffusion de la biodiversité. Cette notation permet de localiser les tronçons à conserver en priorité (i.e., avec un score élevé) qui représentent des sources de diffusion, et ceux avec un score plus faible qui représentent un potentiel de restauration à plus long terme.
La décomposition du score par compartiment et par indicateur permet de connaître les points forts et points faibles des tronçons et ainsi d’orienter les choix sur les actions les plus efficaces, c’est-à-dire celles qui permettront d’améliorer précisément les indicateurs les plus déclassant et qui se traduiront par le meilleur gain pour la biodiversité.
Ensuite, des zones géographiques représentées par un seul tronçon ou par le regroupement de plusieurs tronçons adjacents présentant des scores élevés ont été délimitées selon deux niveaux de priorité relative, définis à partir de la distribution des scores obtenus. La priorité 1 a été attribuée aux scores les plus élevés de la distribution, qui présentent une valeur supérieure à la limite du troisième quartile, et la priorité 2 aux scores compris entre la médiane et la limite du troisième quartile.
Les scores et la délimitation des zones prioritaires obtenus pour chaque compartiment et pour l’ensemble regroupé des compartiments sont présentés dans le tableau 1 et la figure 3. Les méthodes et les résultats détaillés sont disponibles dans le rapport de synthèse du projet (Caudron et Bellier, 2024).
Les cases en gris permettent d’identifier les affluents. Les encadrés violets délimitent les zones de priorité 1 (foncé) et de priorité 2 (clair) présentées dans la figure 3.
Tableau 1. Tableau indiquant le détail des scores de priorisation obtenus sur chacun des trente-cinq tronçons.

Figure 3. Cartographie des sous-scores de priorisation obtenus pour chacun des trois compartiments biologiques et des scores totaux sur les trente-cinq tronçons identifiés et délimitations des zones sources de priorité 1 et 2.
Programmes d’actions de conservation et aide à la décision multi-critères
À partir des connaissances disponibles et acquises, le PNRHJ a défini un programme regroupant quarante-huit actions réparties dans six grands objectifs : appliquer et adapter la réglementation, suivre l’évolution thermique des rivières, évaluer les contraintes à la continuité piscicole, favoriser la diversité intraspécifique de la truite commune, limiter les effets du changements climatiques, et réduire la fragmentation du milieu (Caudron et Bellier, 2024). Comme l’objectif est d’inscrire ces actions sur le long terme en adéquation avec les objectifs de la charte du PNRHJ qui s’étalera sur quinze ans (2026-2041), il était nécessaire de proposer un process d’aide à la décision pour hiérarchiser les actions et ainsi les planifier sur la durée du programme. Neuf actions ont été exclues de ce process car elles représentent des mesures stratégiques prioritaires qui concernent l’ensemble du bassin versant ou la totalité du cours de la Bienne : par exemple, la mise en place d’une bande de recul par rapport au cours d’eau dans le plan de prévention des risques inondation, d’un espace de bon fonctionnement sur l’ensemble de la Bienne ou d’un plan de reboisement et de densification de la ripisylve.
Chacune des trente-neuf autres actions s’est vu attribuer un score de faisabilité en s’appuyant sur sept critères structurants : la difficulté technique, l’accès au foncier, les enjeux sociaux et d’usages, la complexité réglementaire, le coût financier, le niveau d’aides financières, et le délai de mise en œuvre. Chaque critère a été noté de 1 à 3 selon un niveau de faisabilité croissant, sauf le dernier critère qui a été noté sur 2. Au final, chaque action obtient une note sur 20 intégrant la somme des scores de chaque critère ; plus la note est élevée, plus l’action est facile à mettre en place. Cette notation s’est faite à « dire d’expert » grâce aux retours d’expériences des équipes du PNRHJ, qui connaissent les freins mais aussi les atouts pour mettre en œuvre des projets sur le bassin concerné.
Afin d’apporter une aide à la réflexion et à la décision, les deux analyses multi-critères, qui ont permis de hiérarchiser, d’une part, les tronçons en fonction de leur capacité de diffusion de la biodiversité, et d’autre part les actions selon leur faisabilité, ont été croisées dans un graphique à deux dimensions (figure 4). Cette représentation simple permet aux décisionnaires d’établir un planning de conservation en priorisant les actions les plus faisables et qui sont localisées sur les tronçons présentant le plus d’intérêt en termes de biodiversité (encadré 1).
À la fin du processus, chacune des trente-neuf actions à hiérarchiser possède un score de faisabilité noté sur 20 et un score de capacité de diffusion de la biodiversité correspondant au score de priorité (SP) du tronçon dans lequel l’action de positionne.
Le graphique à deux dimensions permet de projeter les actions (points de différentes couleurs) en fonction de leurs deux scores. Un code couleur permet d’identifier visuellement dans laquelle des six catégories (objectifs) se trouvent l’action. Selon leur position dans cet espace, les actions seront plus ou moins difficiles à mettre en œuvre et apportent un bénéfice plus ou moins important sur la diffusion de la biodiversité. Ainsi par exemple, les points situés en haut et à droite du graphique représentent les actions les plus faciles à mettre n œuvre et qui présentent un intérêt majeur pour la diffusion de la biodiversité. Logiquement, ce sont ces actions qui seront priorisées. Au contraire, les actions positionnées en bas et à gauche du graphique ne seront pas priorisées car elles sont difficilement faisables et en plus présentent peu d’intérêt pour la diffusion de la biodiversité.

Figure 4. Analyse d’aide à la décision multi-critères croisant les actions selon leur niveau de faisabilité et la capacité de diffusion des tronçons concernés.
Conclusion
Le projet « Eau et Biodiversité » mis en œuvre sur le bassin de la Bienne représente un travail de recherche-action pluridisciplinaire à l’interface science-gestion, développant une approche de biologie de la conservation appliquée à la biodiversité aquatique. Il a permis de pré-identifier des tronçons d’intérêt au sein de la trame turquoise le long des cours d’eau, de collecter des indicateurs d’abondance et de diversité sur trois compartiments biologiques, d’intégrer une dimension éco-hydromorphologique en lien avec le réchauffement climatique, d’identifier et de hiérarchiser les principales poches de diffusion de la biodiversité, pour enfin élaborer un planning de conservation basé sur un programme d’actions hiérarchisées. L’objectif opérationnel du projet était d’aboutir à un plan d’actions, repris dans la charte du PNRHJ, et destiné à renforcer les circulations biologiques au sein de la trame turquoise associée aux cours d’eau à partir des poches de biodiversité encore présente sur le bassin.
La démarche méthodologique développée dans ce projet peut être transférable et adaptée pour intégrer d’autres types de pressions anthropiques et d’autres taxons inféodés à la trame turquoise (amphibiens par exemple).

Document complémentaire – Exemples de mosaïques thermiques obtenues par IRTa sur la Bienne en juillet 2022 illustrant un apport majeur d’eau froide d’une résurgence karstique (a) et des apports phréatiques locaux plus froids que la température ambiante (b).
Remerciements
Ce travail d’interface science-gestion, porté par le PNRHJ, a été financé dans le cadre de l’appel à projet Eau et Biodiversité de l’Agence de l’eau Rhône Méditerranée et Corse. Il a également reçu des aides financières de la région Bourgogne Franche-Comté, de la Fédération du Jura pour la pêche et la protection du milieu aquatique (FDPPMA 39), de la Fédération nationale pour la pêche en France et de l’Association la Biennoise agréée pour la pêche et la protection du milieu aquatique.
_____________________________________
Photo d’entête : © Matthieu Le Dréau (INRAE)
Notes
- 1. SRCE : schéma régional de cohérence écologique ; SCoT : schéma de cohérence territoriale; PLU : plan local d'urbanisme.
- 2. ZNIEFF : zone naturelle d’intérêt écologique faunistique et floristique.
- 3. SDAGE : schéma directeur d’aménagement et de gestion des eaux.
Références
- Ackerman, M. W., Hand, B. K., Waples, R. K., Luikart, G., Waples, R. S., Steele, C. A., & Campbell, M. R. (2017). Effective number of breeders from sibship reconstruction: empirical evaluations using hatchery steelhead. Evolutionary applications, 10(2), 146-160. https://doi.org/10.1111/eva.12433
- Bacles, C. F., Bouchard, C., Lange, F., Manicki, A., Tentelier, C., & Lepais, O. (2018). Estimating the effective number of breeders from single parr samples for conservation monitoring of wild populations of Atlantic salmon Salmo salar. Journal of Fish Biology, 92(3), 699-726. https://doi.org/10.1111/jfb.13537
- Bourgoin, L. (2024). Connaitre et restaurer les rôles de diffusion des poches de biodiversité au sein de la trame turquoise sur l’ensemble du bassin de la Bienne – Rapport final 3 Volet avifaune. PNR Haut Jura. https://www.parc-haut-jura.fr/content/uploads/2024/09/3_Rapport_Biodiv-Bienne-Volet-Avifaune-VF.pdf
- Butchart, S. H., Scharlemann, J. P., Evans, M. I., Quader, S., Arico, S., Arinaitwe, J., Balman, M., Bennun, L. A., Bertzky, B., Besancon, C. & Boucher, T. M. (2012). Protecting important sites for biodiversity contributes to meeting global conservation targets. PloS one, 7(3), p.e32529. https://doi.org/10.1371/journal.pone.0032529
- Caudron, A., & Bellier, R. (2024). Connaître et restaurer les rôles de diffusion des poches de biodiversité au sein de la trame turquoise sur l’ensemble du bassin de la Bienne – Rapport final 5. Synthèse, priorisation et programme d’actions. PNR Haut Jura. https://www.parc-haut-jura.fr/content/uploads/2024/09/5_Rapport_Biodiv-Bienne-Synthese-VF.pdf
- Caudron, A., & Dumoutier, Q. (2024). Connaître et restaurer les rôles de diffusion des poches de biodiversité au sein de la trame turquoise sur l’ensemble du bassin de la Bienne – Rapport final 1. Volet Biodiversité Ichtyologique. PNR Haut Jura. https://www.parc-haut-jura.fr/content/uploads/2024/09/1_Rapport_Biodiv-Bienne-Volet-poissons-VF.pdf
- Caudron, A., Marteau, B., & Dugdale, S. (2024). Connaître et restaurer les rôles de diffusion des poches de biodiversité au sein de la trame turquoise sur l’ensemble du bassin de la Bienne – Rapport final 4. Volet Cartographie thermique de la Bienne par IRT-a et conditions d’habitats thermiques pour les salmonidés. PNR Haut Jura. https://www.parc-haut-jura.fr/content/uploads/2024/09/4_Rapport_Biodiv-Bienne-Volet-Thermie-VF.pdf
- Cesarini, G., Gallitelli, L., Fazio, C. L., & Scalici, M. (2024). River functionality influences the distribution of the dipper Cinclus cinclus (Linnaeus, 1758). Science of The Total Environment, 950, 175-230. https://doi.org/10.1016/j.scitotenv.2024.175230
- Clauzel, C., Eggert, C., Tarabon, S., Pasquet, L., Vuidel, G., Bailleul, M., ... & Godet, C. (2023). Analyser la connectivité de la trame turquoise: définition, caractérisation et enjeux opérationnels. Sciences Eaux & Territoires, (43), 67-71. https://doi.org/10.20870/Revue-SET.2023.43.7642
- Dugdale, S. J. (2016). A practitioner's guide to thermal infrared remote sensing of rivers and streams: recent advances, precautions and considerations. Wiley Interdisciplinary Reviews: Water, 3(2), 251-268. https://doi.org/10.1002/wat2.1135
- Dumoutier, Q. (2024). Connaître et restaurer les rôles de diffusion des poches de biodiversité au sein de la trame turquoise sur l’ensemble du bassin de la Bienne – Rapport final 2. Volet invertébrés aquatiques. PNR Haut Jura. https://www.parc-haut-jura.fr/content/uploads/2024/09/2_Rapport_Biodiv-Bienne-Volet-invertebres-VF.pdf
- Ferry, C., & Frochot, B. (1958). Une méthode pour dénombrer les oiseaux nicheurs. Revue d'Écologie, (2), 85-102. https://hal.science/hal-03531510v1
- Le Berre, M., Noble, V., Pires, M., Médail, F. & Diadema. K. (2019). How to hierarchise species to determine priorities for conservation action? A critical analysis. Biodiversity and Conservation, 28(12),3051-3071. https://doi.org/10.1007/s10531le berre-019-01820-w
- Margules, C.R. & Pressey, R. L. (2000). Systematic conservation planning. Nature, 405(6783). https://doi.org/10.1038/35012251
- Marteau, B, Michel, K, & Piégay, H. (2022). Can gravel augmentation restore thermal functions in gravel-bed rivers? A need to assess success within a trajectory-based before–after control–impact framework. Hydrological Processes, 36(2),1-21. https://doi.org/10.1002/hyp.14480
- Mucova, S. A. R., Leal Filho, W., Azeiteiro, U. M. & Pereira, M. J. (2018). Assessment of land use and land cover changes from 1979 to 2017 and biodiversity & land management approach in Quirimbas National Park, Northern Mozambique, Africa. Global ecology and conservation, 16, e00447. https://doi.org/10.1016/j.gecco.2018.e00447
- Saint-Pé, K., Leitwein, M., Tissot, L., Poulet, N., Guinand, B., Berrebi, P., Marselli, G., Lascaux, J. M., Gagnaire, P. A., & Blanchet, S. (2019). Development of a large SNPs resource and a low-density SNP array for brown trout (Salmo trutta) population genetics. BMC Genomics, 20(1), 582. https://doi.org/10.1186/s12864-019-5958-9
- Servanty, S., Beaulaton, L., & Roussel, J. M. (2016). VIGITRUITE®: test de la méthode et construction de l'abaque entre la densité et l'indice d'abondance en juvéniles de truite 0+ et 1+. https://hal.science/hal-04633073
- Sordello, R. (2017). Trame verte, trame bleue et toutes ces autres trames dont il faudrait aussi se préoccuper. Regard R72. https://sfecologie.org/wp-content/uploads/2017/05/R72-Sordello-2017-1.pdf
- Sordello, R., Amsallem, J., Bas, Y., Billon, L., Borner, L., Comolet-Tirman, J., ... & Vignon, V. (2019). Trame verte et bleue et espèces volantes. Note d'enjeux et de problématique (Doctoral dissertation, PatriNat (AFB-CNRS-MNHN), Cerema, CESCO, Irstea, LPO, MTES). https://mnhn.hal.science/mnhn-04256474/file/Sordello_et_al_2019.pdf
- Sutherland, W. J., Pullin, A. S., Dolman, P. M., & Knight, T. M. (2004). The need for evidence-based conservation. Trends In Ecology & Evolution, 19(6) 305-308. https://doi.org/10.1016/j.tree.2004.03.018
- Wang, J. (2009). A New Method for Estimating Effective Population Size From a Single Sample of Multilocus Genotypes. Molecular Ecology, 18(10), 2148-2164. https://doi.org/10.1111/j.1365-294X.2009.04175.x
Résumé
La trame turquoise, plus qu’une fusion des trames verte et bleue, est un concept récent qui définit la zone d’interaction écologique entre milieux aquatiques et terrestres à l’interface des cours d’eau. Par ses fonctions de réservoir de biodiversité et de corridor écologique terrestre et aquatique, la trame turquoise joue un rôle majeur dans la diffusion de la biodiversité le long des cours d’eau à l’échelle du bassin versant. Cet article synthétise un travail original d’interface science-gestion mené sur le bassin versant de la Bienne (Jura) destiné à mieux prendre en compte dans les plans d’actions des gestionnaires le rôle de diffusion des poches de biodiversité existantes au sein de la trame turquoise. La démarche vise un objectif de conservation à long terme qui est de favoriser la résilience de la biodiversité à l’échelle du bassin par une approche originale de restauration des habitats, en priorisant les actions qui favorisent le rôle de diffusion des poches de biodiversité existantes.
Pas de document complémentaire pour cet article
Statistiques de l'article
Vues: 1995
Téléchargements
PDF: 109
XML: 25
